Построение расчетных стех статически определимых и статически неопределимых стержней в ПК ЛИРА-САПР
Построение расчетных стех статически определимых и статически неопределимых стержней в ПК ЛИРА-САПР
Здравствуйте, как правильно произвести расчет статические неопределимых стержней в ЛИРА-САПР?
Re: Построение расчетных стех статически определимых и статически неопределимых стержней
А что конкретно вам нужно? Для статически неопределимых систем просто считайте через соотношения
Re: Построение расчетных стех статически определимых и статически неопределимых стержней
Вот моя задача. Подскажите что сделать подробнее?
Re: Построение расчетных стех статически определимых и статически неопределимых стержней
Открываем новый файл Лира,
Затем выбираем шесть степень свободы и создаем геометрическую схему
Затем выбираем шесть степень свободы и создаем геометрическую схему
Re: Построение расчетных стех статически определимых и статически неопределимых стержней
Далее создавайте закрепление в узле жесткое
Связи узлы, нажимаем все
На всякий случай не забудьте проверить фонариком
Связи узлы, нажимаем все
На всякий случай не забудьте проверить фонариком
Re: Построение расчетных стех статически определимых и статически неопределимых стержней
Теперь назначайте нагрузку на другой узел. Для этого выделите узел, добавить нагрузку на узел, глобальная координата Z и назначайте свое количество
Re: Построение расчетных стех статически определимых и статически неопределимых стержней
Теперь проверьте назначены ли у вас сечения и отправляйте на проверку
Re: Построение расчетных стех статически определимых и статически неопределимых стержней
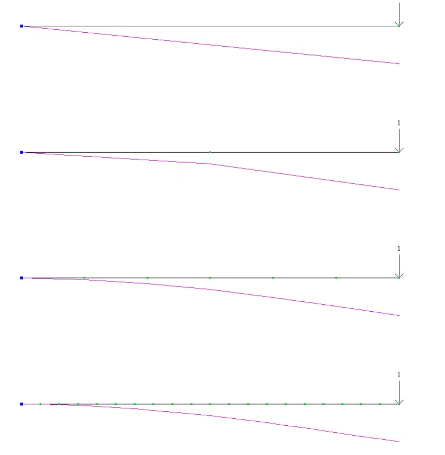
Ах, да. Вспомнил, спасибо, а на сколько частей делить?
Я сделал 4 стержня одинаковые и разделил на разное количество частей
Я сделал 4 стержня одинаковые и разделил на разное количество частей
Re: Построение расчетных стех статически определимых и статически неопределимых стержней
Главное на четное количество, чтобы узел был в середине
Re: Построение расчетных стех статически определимых и статически неопределимых стержней
Получилось, что чем точнее раздробил, тем точнее и адекватнее расчет
Re: Построение расчетных стех статически определимых и статически неопределимых стержней
А где можно посмотреть в табличном виде результаты в ПК-ЛИРА САПР?
Вот я сделал расчет, а как в таблицу вывести
Вот я сделал расчет, а как в таблицу вывести
Re: Построение расчетных стех статически определимых и статически неопределимых стержней
1) Выделяйте элемент, по которому хотите найти табличные значения
2) Окно/ Интерактивные таблицы/ 3) Выбирайте то, что вам нужно и сохраняйте как эксель файл
2) Окно/ Интерактивные таблицы/ 3) Выбирайте то, что вам нужно и сохраняйте как эксель файл
Re: Построение расчетных стех статически определимых и статически неопределимых стержней
Спасибо, теперь во всем разобрался
Re: Построение расчетных стех статически определимых и статически неопределимых стержней
Здравствуйте,
Дано: очень много координат узлов. Вопрос: возможно ли забить их все в Лиру как они есть, т.е. в табличной форме. Такая вот задача.
Дано: очень много координат узлов. Вопрос: возможно ли забить их все в Лиру как они есть, т.е. в табличной форме. Такая вот задача.
Re: Построение расчетных стех статически определимых и статически неопределимых стержней
Именно в табличной форме не удастся. Или по одному (на каждый вводятся координаты), или через текстовый файл, который понимает Лира
Re: Построение расчетных стех статически определимых и статически неопределимых стержней
Тогда следующий вопрос. Как это сделать? Возможность импорта данных из текстового файла я заметил. Вот только нигде не написано, как их правильно оформлять на входном языке процессора.
Re: Построение расчетных стех статически определимых и статически неопределимых стержней
Этого я не знаю, но пользуюсь методом "по образу и подобию" для составления таких файлов.
Re: Построение расчетных стех статически определимых и статически неопределимых стержней
Спасибо за советы, ребята. Глянул я в аналоговый текстовый файл и забил на эту глупую затею. Очень он мутный, однако. Я пошел по другому пути. Забил исходные точки в старке, благо там предусмотрен табличный ввод данных, и переконвертировал в лировский формат, вот.
Эти манипуляции необходимы мне были для одной цели - по координатам задать оптимальную кривую нити. Конечно можно ее определить функционально, но соображалки и математических навыков мне не хватит, ага.
Эти манипуляции необходимы мне были для одной цели - по координатам задать оптимальную кривую нити. Конечно можно ее определить функционально, но соображалки и математических навыков мне не хватит, ага.
Re: Построение расчетных стех статически определимых и статически неопределимых стержней
Я бы сделал так:
Шаг 1. В автокаде Сервис-Извлечение данных и у нас есть таблица Эксель в т.ч. с координатами узлов
Шаг 2. В Лире создал файл с несколькими узлами Uzel.lir и сохранил его.
Шаг 3. В Лировских каталогах найти файл Uzel.txt.
Шаг 4. Корретировка Uzel.txt. В разделе 4 этого текстового файла хранятся координаты узлов в виде
(4/
X1 Y1 Z1/
X2 Y2 Z2/
X3 Y3 Z3/
.....
Xn Yn Zn)
Надо вставить из экселя в 4-ый раздел данные, предварительно "причесав" их в самом Экселе.
Шаг 5. Текстовый файл Uzel.txt загрузить в Лиру
Шаг 6. PROFIT
П.С. Прямо сейчас этот метод не проверял, но должно сработать.
Шаг 1. В автокаде Сервис-Извлечение данных и у нас есть таблица Эксель в т.ч. с координатами узлов
Шаг 2. В Лире создал файл с несколькими узлами Uzel.lir и сохранил его.
Шаг 3. В Лировских каталогах найти файл Uzel.txt.
Шаг 4. Корретировка Uzel.txt. В разделе 4 этого текстового файла хранятся координаты узлов в виде
(4/
X1 Y1 Z1/
X2 Y2 Z2/
X3 Y3 Z3/
.....
Xn Yn Zn)
Надо вставить из экселя в 4-ый раздел данные, предварительно "причесав" их в самом Экселе.
Шаг 5. Текстовый файл Uzel.txt загрузить в Лиру
Шаг 6. PROFIT
П.С. Прямо сейчас этот метод не проверял, но должно сработать.
phpbb3 styles
Кто сейчас на конференции
Сейчас этот форум просматривают: нет зарегистрированных пользователей и 3 гостя

